Aviation Safety Experts in Safety Science & Resilience Engineering
At Strategic Air, our team of aviation safety experts delivers integrated Safety Science and Resilience Engineering services designed to move your organisation from reactive safety practices to proactive, adaptive performance. In today’s complex and fast-changing aviation environment, traditional compliance-based approaches alone are no longer sufficient.
As a trusted aviation safety consultant, we embrace modern safety thinking, focusing on how work is really done, how systems adapt in real time, and how people contribute to safety and success every day. Our expertise helps you build resilience and enhance operational performance through practical, forward-looking strategies grounded in real-world insight.
Ready to move from reactive to proactive safety? Let Strategic Air’s team of trusted safety consultants and aviation consulting experts guide you. Our tailored approach is grounded in real-world operations and the latest in safety science. Reach out today using our online form, by calling 1300 399 426 or emailing info@strategicair.com.au
Understanding the Drivers of Safety Performance
At Strategic Air, our aviation safety experts combine advanced research and behavioural science to uncover what really drives safety. By looking beyond “human error,” we identify the complex factors and beliefs that influence decisions and culture, enabling effective, targeted improvements.

Research & Analysis
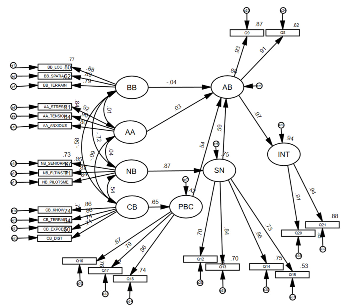
Strategic Air’s aviation safety consultant can undertake comprehensive research to gather data. Our experts can then use complex statistical models like path analysis and structural equation modelling in order to arive at evidence based analysis.

Understanding Human Behaviour
To understand why people made assessments or decisions that they did - we need to understand why things made sense to them at the time. This is where our aviation safety science experts come in.

Behavioural Intervention
Strategic Air’s safety consultants apply psychological models like the Theory of Planned Behaviour to identify the beliefs that actually drive particular human behaviours, enabling targeted and effective interventions.

Applying the Theory of Planned Behaviour
The TPB is used to predict and explain human behaviour in many different situations and settings. For example, it can be used to understand and encourage changes in behaviours in domain such as health, road, rail and aviation.

From Human Error to Real-World Complexity Science
Human Error is often cited as the cause of an accident or incident. However, our experienced aviation safety consultant understands that human error is simply a symptom of deeper issues within a complex system. Let us help you uncover what is really going on beneath the surface.

Measuring & Changing Culture in the Workplace
To change workplace culture we must first measure what the culture is, and understand what is driving 'what people do when nobody is looking'. Strategic Air can use psycho-social tools to measure culture, its drivers and develop strategies of change.

Behaviour Modelling to Drive More Effective Safety Campaigns
Our aviation safety experts at Strategic Air can not only uncover the psychological drivers of a particular behaviour, but using complex mathematical tools, our safety consultants can determine the drivers which have the greatest influence on the behaviour. It is the psychological beliefs with the greatest influence that we need to target if we want effective interventions.

Risk Perception Models to Understand Risky Behaviour Thinking by Aviation Safety Experts
How people perceive risk has an effect on their safety related behaviour. Strategic Air can apply psycholoigcal models and complex analysis to understanding people's perception of risk. Once we understand it, our safety consultants can then intervene in an effective an inteligent way.
Build Resilience and Enhance Performance with Strategic Air
If you’re ready to move beyond reactive, compliance-based safety models, Strategic Air’s aviation consulting experts are here to guide you. Leveraging the deep insights of our aviation safety science experts, we provide practical, customised solutions that address the true complexities of your operations. Contact Strategic Air today to begin your journey toward proactive safety management and resilient performance. Use our online form, call 1300 399 426 or email info@strategicair.com.au